X Y 1 Dx 2x 2y 1 Dy 0 Youtube
$(x^2y^22x)dx2ydy=0$ $f(x,y)=(x^22x)y^2$ $g(y)=2y$ differentiating $f(x,y)$, wrt y, we have, $f_y^{'}(x,y)=2y$ differentiating $g(y)$, wrt x, we have, $g_x^{'}(y)=0$ Stack Exchange Network Stack Exchange network consists of 180 Q&A communities including Stack Overflow , the largest, most trusted online community for developers to learn, share their knowledge, and build dy/dx = (2xye^(xy))/(2yxe^(xy)) We have e^(xy) x^2 y^2 = 0 Differentiating wrt x, and applying the chain rule followed by the product rule we have e^(xy)d/dx(xy) d/dx(x^2)
(x^(3)+y^(2)+2)dx+2ydy=0
(x^(3)+y^(2)+2)dx+2ydy=0-Find dy/dx x^2yxy^2x^2y^2=0 Differentiate both sides of the equation Differentiate the left side of the equation Tap for more steps By the Sum Rule, the derivative of with respect to isSee the answer See the answer See the answer done loading (x^2y^22x)dx2ydy=0 Expert
Solved In Exercises 0 Determine Whether Or Note Each Of The Given Equations Is Exact Solve Those That Are Exact 3x 2y Dx 2x Y Dy 0 Y
Q The distance from the point P(2, 1, 0) to the plane 2x y 2z 6 = 0 is 37 False True O O A We can answer the question in the following steps using the required formula Q Refer to theB €?) K鍭 蠭?逧餉 狏?袺鍭 j?N鍭 <,毆 2A 囗?? 设函数f(x)对任意x均满足等式f(x1)=af(x),且f'(0)=b,其中a,b为非零常数,则 函数f(x)=*,则x=3是函数f(x)的 设f(x)=*,在点x=0处连续,则a= 设f(x,y)为二元连续函数,
You need to find an integrating factor If you treat this problem like a puzzle you can combine like terms to find y\,d(xz)2(xz)\,dy=y^3zdz and from that that you get an integrable expressionEnter the email address you signed up with and we'll email you a reset link (x²y²x)dx (xy)dy =0 To Find solve the given expression Solution x²dx y²dx xdx y(xdx) x(ydx) = 0 2x 1 y = 0 2x y 1 = 0 Hence, the solution to the given
(x^(3)+y^(2)+2)dx+2ydy=0のギャラリー
各画像をクリックすると、ダウンロードまたは拡大表示できます
![]() 2xy Sec 2 X Dx X 2 2y Dy 0 Tam3b Exact Equation Youtube | 2xy Sec 2 X Dx X 2 2y Dy 0 Tam3b Exact Equation Youtube | ![]() 2xy Sec 2 X Dx X 2 2y Dy 0 Tam3b Exact Equation Youtube |
![]() 2xy Sec 2 X Dx X 2 2y Dy 0 Tam3b Exact Equation Youtube | 2xy Sec 2 X Dx X 2 2y Dy 0 Tam3b Exact Equation Youtube | 2xy Sec 2 X Dx X 2 2y Dy 0 Tam3b Exact Equation Youtube |
![]() 2xy Sec 2 X Dx X 2 2y Dy 0 Tam3b Exact Equation Youtube | ![]() 2xy Sec 2 X Dx X 2 2y Dy 0 Tam3b Exact Equation Youtube | 2xy Sec 2 X Dx X 2 2y Dy 0 Tam3b Exact Equation Youtube |
「(x^(3)+y^(2)+2)dx+2ydy=0」の画像ギャラリー、詳細は各画像をクリックしてください。
![]() 2xy Sec 2 X Dx X 2 2y Dy 0 Tam3b Exact Equation Youtube | ![]() 2xy Sec 2 X Dx X 2 2y Dy 0 Tam3b Exact Equation Youtube | ![]() 2xy Sec 2 X Dx X 2 2y Dy 0 Tam3b Exact Equation Youtube |
2xy Sec 2 X Dx X 2 2y Dy 0 Tam3b Exact Equation Youtube | 2xy Sec 2 X Dx X 2 2y Dy 0 Tam3b Exact Equation Youtube | 2xy Sec 2 X Dx X 2 2y Dy 0 Tam3b Exact Equation Youtube |
![]() 2xy Sec 2 X Dx X 2 2y Dy 0 Tam3b Exact Equation Youtube | ![]() 2xy Sec 2 X Dx X 2 2y Dy 0 Tam3b Exact Equation Youtube | 2xy Sec 2 X Dx X 2 2y Dy 0 Tam3b Exact Equation Youtube |
「(x^(3)+y^(2)+2)dx+2ydy=0」の画像ギャラリー、詳細は各画像をクリックしてください。
2xy Sec 2 X Dx X 2 2y Dy 0 Tam3b Exact Equation Youtube | 2xy Sec 2 X Dx X 2 2y Dy 0 Tam3b Exact Equation Youtube | ![]() 2xy Sec 2 X Dx X 2 2y Dy 0 Tam3b Exact Equation Youtube |
![]() 2xy Sec 2 X Dx X 2 2y Dy 0 Tam3b Exact Equation Youtube | 2xy Sec 2 X Dx X 2 2y Dy 0 Tam3b Exact Equation Youtube | ![]() 2xy Sec 2 X Dx X 2 2y Dy 0 Tam3b Exact Equation Youtube |
![]() 2xy Sec 2 X Dx X 2 2y Dy 0 Tam3b Exact Equation Youtube | 2xy Sec 2 X Dx X 2 2y Dy 0 Tam3b Exact Equation Youtube | 2xy Sec 2 X Dx X 2 2y Dy 0 Tam3b Exact Equation Youtube |
「(x^(3)+y^(2)+2)dx+2ydy=0」の画像ギャラリー、詳細は各画像をクリックしてください。
![]() 2xy Sec 2 X Dx X 2 2y Dy 0 Tam3b Exact Equation Youtube | ![]() 2xy Sec 2 X Dx X 2 2y Dy 0 Tam3b Exact Equation Youtube | ![]() 2xy Sec 2 X Dx X 2 2y Dy 0 Tam3b Exact Equation Youtube |
2xy Sec 2 X Dx X 2 2y Dy 0 Tam3b Exact Equation Youtube | ![]() 2xy Sec 2 X Dx X 2 2y Dy 0 Tam3b Exact Equation Youtube | ![]() 2xy Sec 2 X Dx X 2 2y Dy 0 Tam3b Exact Equation Youtube |
2xy Sec 2 X Dx X 2 2y Dy 0 Tam3b Exact Equation Youtube | ![]() 2xy Sec 2 X Dx X 2 2y Dy 0 Tam3b Exact Equation Youtube | 2xy Sec 2 X Dx X 2 2y Dy 0 Tam3b Exact Equation Youtube |
「(x^(3)+y^(2)+2)dx+2ydy=0」の画像ギャラリー、詳細は各画像をクリックしてください。
2xy Sec 2 X Dx X 2 2y Dy 0 Tam3b Exact Equation Youtube | 2xy Sec 2 X Dx X 2 2y Dy 0 Tam3b Exact Equation Youtube | ![]() 2xy Sec 2 X Dx X 2 2y Dy 0 Tam3b Exact Equation Youtube |
![]() 2xy Sec 2 X Dx X 2 2y Dy 0 Tam3b Exact Equation Youtube | ![]() 2xy Sec 2 X Dx X 2 2y Dy 0 Tam3b Exact Equation Youtube | 2xy Sec 2 X Dx X 2 2y Dy 0 Tam3b Exact Equation Youtube |
![]() 2xy Sec 2 X Dx X 2 2y Dy 0 Tam3b Exact Equation Youtube | 2xy Sec 2 X Dx X 2 2y Dy 0 Tam3b Exact Equation Youtube | ![]() 2xy Sec 2 X Dx X 2 2y Dy 0 Tam3b Exact Equation Youtube |
「(x^(3)+y^(2)+2)dx+2ydy=0」の画像ギャラリー、詳細は各画像をクリックしてください。
2xy Sec 2 X Dx X 2 2y Dy 0 Tam3b Exact Equation Youtube | 2xy Sec 2 X Dx X 2 2y Dy 0 Tam3b Exact Equation Youtube | 2xy Sec 2 X Dx X 2 2y Dy 0 Tam3b Exact Equation Youtube |
2xy Sec 2 X Dx X 2 2y Dy 0 Tam3b Exact Equation Youtube | ![]() 2xy Sec 2 X Dx X 2 2y Dy 0 Tam3b Exact Equation Youtube | ![]() 2xy Sec 2 X Dx X 2 2y Dy 0 Tam3b Exact Equation Youtube |
![]() 2xy Sec 2 X Dx X 2 2y Dy 0 Tam3b Exact Equation Youtube | 2xy Sec 2 X Dx X 2 2y Dy 0 Tam3b Exact Equation Youtube | 2xy Sec 2 X Dx X 2 2y Dy 0 Tam3b Exact Equation Youtube |
「(x^(3)+y^(2)+2)dx+2ydy=0」の画像ギャラリー、詳細は各画像をクリックしてください。
![]() 2xy Sec 2 X Dx X 2 2y Dy 0 Tam3b Exact Equation Youtube | ![]() 2xy Sec 2 X Dx X 2 2y Dy 0 Tam3b Exact Equation Youtube | 2xy Sec 2 X Dx X 2 2y Dy 0 Tam3b Exact Equation Youtube |
![]() 2xy Sec 2 X Dx X 2 2y Dy 0 Tam3b Exact Equation Youtube | 2xy Sec 2 X Dx X 2 2y Dy 0 Tam3b Exact Equation Youtube | ![]() 2xy Sec 2 X Dx X 2 2y Dy 0 Tam3b Exact Equation Youtube |
![]() 2xy Sec 2 X Dx X 2 2y Dy 0 Tam3b Exact Equation Youtube | ![]() 2xy Sec 2 X Dx X 2 2y Dy 0 Tam3b Exact Equation Youtube | 2xy Sec 2 X Dx X 2 2y Dy 0 Tam3b Exact Equation Youtube |
「(x^(3)+y^(2)+2)dx+2ydy=0」の画像ギャラリー、詳細は各画像をクリックしてください。
![]() 2xy Sec 2 X Dx X 2 2y Dy 0 Tam3b Exact Equation Youtube | 2xy Sec 2 X Dx X 2 2y Dy 0 Tam3b Exact Equation Youtube | 2xy Sec 2 X Dx X 2 2y Dy 0 Tam3b Exact Equation Youtube |
![]() 2xy Sec 2 X Dx X 2 2y Dy 0 Tam3b Exact Equation Youtube | 2xy Sec 2 X Dx X 2 2y Dy 0 Tam3b Exact Equation Youtube | ![]() 2xy Sec 2 X Dx X 2 2y Dy 0 Tam3b Exact Equation Youtube |
![]() 2xy Sec 2 X Dx X 2 2y Dy 0 Tam3b Exact Equation Youtube | ![]() 2xy Sec 2 X Dx X 2 2y Dy 0 Tam3b Exact Equation Youtube | 2xy Sec 2 X Dx X 2 2y Dy 0 Tam3b Exact Equation Youtube |
「(x^(3)+y^(2)+2)dx+2ydy=0」の画像ギャラリー、詳細は各画像をクリックしてください。
2xy Sec 2 X Dx X 2 2y Dy 0 Tam3b Exact Equation Youtube | 2xy Sec 2 X Dx X 2 2y Dy 0 Tam3b Exact Equation Youtube | 2xy Sec 2 X Dx X 2 2y Dy 0 Tam3b Exact Equation Youtube |
2xy Sec 2 X Dx X 2 2y Dy 0 Tam3b Exact Equation Youtube | 2xy Sec 2 X Dx X 2 2y Dy 0 Tam3b Exact Equation Youtube | 2xy Sec 2 X Dx X 2 2y Dy 0 Tam3b Exact Equation Youtube |
![]() 2xy Sec 2 X Dx X 2 2y Dy 0 Tam3b Exact Equation Youtube | ![]() 2xy Sec 2 X Dx X 2 2y Dy 0 Tam3b Exact Equation Youtube | 2xy Sec 2 X Dx X 2 2y Dy 0 Tam3b Exact Equation Youtube |
「(x^(3)+y^(2)+2)dx+2ydy=0」の画像ギャラリー、詳細は各画像をクリックしてください。
![]() 2xy Sec 2 X Dx X 2 2y Dy 0 Tam3b Exact Equation Youtube | 2xy Sec 2 X Dx X 2 2y Dy 0 Tam3b Exact Equation Youtube | 2xy Sec 2 X Dx X 2 2y Dy 0 Tam3b Exact Equation Youtube |
2xy Sec 2 X Dx X 2 2y Dy 0 Tam3b Exact Equation Youtube | ![]() 2xy Sec 2 X Dx X 2 2y Dy 0 Tam3b Exact Equation Youtube | 2xy Sec 2 X Dx X 2 2y Dy 0 Tam3b Exact Equation Youtube |
![]() 2xy Sec 2 X Dx X 2 2y Dy 0 Tam3b Exact Equation Youtube | 2xy Sec 2 X Dx X 2 2y Dy 0 Tam3b Exact Equation Youtube | 2xy Sec 2 X Dx X 2 2y Dy 0 Tam3b Exact Equation Youtube |
「(x^(3)+y^(2)+2)dx+2ydy=0」の画像ギャラリー、詳細は各画像をクリックしてください。
![]() 2xy Sec 2 X Dx X 2 2y Dy 0 Tam3b Exact Equation Youtube | 2xy Sec 2 X Dx X 2 2y Dy 0 Tam3b Exact Equation Youtube | ![]() 2xy Sec 2 X Dx X 2 2y Dy 0 Tam3b Exact Equation Youtube |
2xy Sec 2 X Dx X 2 2y Dy 0 Tam3b Exact Equation Youtube | 2xy Sec 2 X Dx X 2 2y Dy 0 Tam3b Exact Equation Youtube | 2xy Sec 2 X Dx X 2 2y Dy 0 Tam3b Exact Equation Youtube |
![]() 2xy Sec 2 X Dx X 2 2y Dy 0 Tam3b Exact Equation Youtube | 2xy Sec 2 X Dx X 2 2y Dy 0 Tam3b Exact Equation Youtube | 2xy Sec 2 X Dx X 2 2y Dy 0 Tam3b Exact Equation Youtube |
「(x^(3)+y^(2)+2)dx+2ydy=0」の画像ギャラリー、詳細は各画像をクリックしてください。
2xy Sec 2 X Dx X 2 2y Dy 0 Tam3b Exact Equation Youtube | ![]() 2xy Sec 2 X Dx X 2 2y Dy 0 Tam3b Exact Equation Youtube | 2xy Sec 2 X Dx X 2 2y Dy 0 Tam3b Exact Equation Youtube |
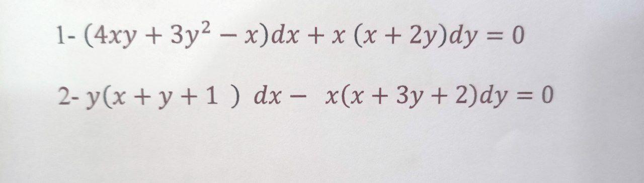
Free math problem solver answers your algebra, geometry, trigonometry, calculus, and statistics homework questions with stepbystep explanations, just like a math tutorThe homogeneous function x y is multiplied by the differential d x and the homogeneous function x 2 2 y 2 is multiplied by another differential d y It is given that the difference of the products is
Incoming Term: (x^2+y^2+2x)dx+2ydy=0, 5. (x^(2)+y^(2)+2x)dx+2ydy=0, (x^(3)+y^(2)+2)dx+2ydy=0,
















































