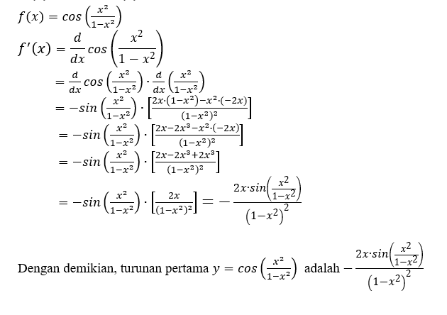
Turunan Pertama Dari Y Cos 3 3 2x Adalah A
WebDefinisi dari turunan adalah sebagai berikut Turunan (differential) dari sebuah fungsi f adalah fungsi yang diberi lambang f' (dibaca "f aksen") dan didefinisikan sebagai berikutWeb3 Aturan2 Jikaf(x) adalah fungsi yang bisa diturunkan (differentiable), maka ( )e( ) e() f(x) dx ′ = ⋅ = ( ) ( ) Fungsi exponential yang dimaksud Dikali turunan dari f(x) Contoh 4
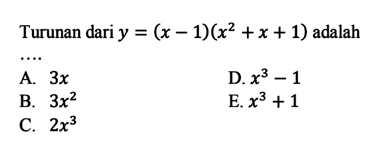
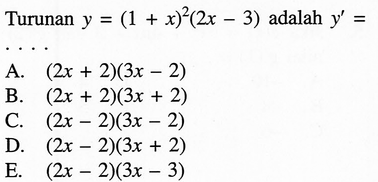
Turunan dari y=(1-x)2(2x+3) adalah
Turunan dari y=(1-x)2(2x+3) adalah-WebGaris sekan pada grafik fungsi y = f ( x) yang melalui titik ( x, f ( x )) dan (x h, f(x h)) Gambar 3 Garis singgung sebagai limit dari garis sekan Gambar 4 Ilustrasi animasi garisWeb Hal ini karena turunan adalah bentuk khusus dari limit Selain itu, turunan dapat menyatakan perubahan fungsi pada variabelnya Berikut ini pembahasan terkait turunan
Turunan Dari Y 1 X 2x 3 Adalah To
WebTurunan fungsi y= 1/x2 19,576 views 133 Dislike Share Save Brainly Indonesia 245K subscribers Bentuk pertanyaan turunan fungsi y= 1/x2 Lihat pembahasan yangWebDiketahui y = ( x 2 1 ) ( x 3 − 1 ) , maka y adalah RUANGGURU HQ Jl Dr Saharjo No161, Manggarai Selatan, Tebet, Kota Jakarta Selatan, Daerah Khusus Ibukota JakartaWebKalkulator turunan online membantu menemukan turunan fungsi sehubungan dengan variabel tertentu dan menunjukkan kepada Anda diferensiasi langkah demi langkah Untuk
Web Jawaban paling sesuai dengan pertanyaan Turunan dari y=(1x)^(2)(2x3) adalahWebTentukan Turunan d/dx f(x)=1/(2x3) Langkah 1 Tulis kembali sebagai Langkah 2 Diferensialkan menggunakan kaidah rantai, Karena konstan terhadap , turunan dariWeb Questions Show answers Turunan dari y = x 3 2x 2, adalah y = 12x 5, maka dy/dx = Diketahui y = 3 – x 3, maka dy/dx = Jika f (x) = x 3 – 6x 2 9x – 5, dan f' adalah
Turunan dari y=(1-x)2(2x+3) adalahのギャラリー
各画像をクリックすると、ダウンロードまたは拡大表示できます
Soal Turunan Y 1 X 2 2x 3 Adalah Y Dots | ![]() Soal Turunan Y 1 X 2 2x 3 Adalah Y Dots | Soal Turunan Y 1 X 2 2x 3 Adalah Y Dots |
![]() Soal Turunan Y 1 X 2 2x 3 Adalah Y Dots | ![]() Soal Turunan Y 1 X 2 2x 3 Adalah Y Dots | ![]() Soal Turunan Y 1 X 2 2x 3 Adalah Y Dots |
![]() Soal Turunan Y 1 X 2 2x 3 Adalah Y Dots | Soal Turunan Y 1 X 2 2x 3 Adalah Y Dots | Soal Turunan Y 1 X 2 2x 3 Adalah Y Dots |
![]() Soal Turunan Y 1 X 2 2x 3 Adalah Y Dots | ![]() Soal Turunan Y 1 X 2 2x 3 Adalah Y Dots | Soal Turunan Y 1 X 2 2x 3 Adalah Y Dots |
![]() Soal Turunan Y 1 X 2 2x 3 Adalah Y Dots | ![]() Soal Turunan Y 1 X 2 2x 3 Adalah Y Dots | ![]() Soal Turunan Y 1 X 2 2x 3 Adalah Y Dots |
![]() Soal Turunan Y 1 X 2 2x 3 Adalah Y Dots | Soal Turunan Y 1 X 2 2x 3 Adalah Y Dots | Soal Turunan Y 1 X 2 2x 3 Adalah Y Dots |
Soal Turunan Y 1 X 2 2x 3 Adalah Y Dots | ![]() Soal Turunan Y 1 X 2 2x 3 Adalah Y Dots | ![]() Soal Turunan Y 1 X 2 2x 3 Adalah Y Dots |
![]() Soal Turunan Y 1 X 2 2x 3 Adalah Y Dots | ![]() Soal Turunan Y 1 X 2 2x 3 Adalah Y Dots | Soal Turunan Y 1 X 2 2x 3 Adalah Y Dots |
![]() Soal Turunan Y 1 X 2 2x 3 Adalah Y Dots | Soal Turunan Y 1 X 2 2x 3 Adalah Y Dots | ![]() Soal Turunan Y 1 X 2 2x 3 Adalah Y Dots |
![]() Soal Turunan Y 1 X 2 2x 3 Adalah Y Dots | ![]() Soal Turunan Y 1 X 2 2x 3 Adalah Y Dots | ![]() Soal Turunan Y 1 X 2 2x 3 Adalah Y Dots |
Soal Turunan Y 1 X 2 2x 3 Adalah Y Dots | Soal Turunan Y 1 X 2 2x 3 Adalah Y Dots | ![]() Soal Turunan Y 1 X 2 2x 3 Adalah Y Dots |
![]() Soal Turunan Y 1 X 2 2x 3 Adalah Y Dots | ![]() Soal Turunan Y 1 X 2 2x 3 Adalah Y Dots | ![]() Soal Turunan Y 1 X 2 2x 3 Adalah Y Dots |
![]() Soal Turunan Y 1 X 2 2x 3 Adalah Y Dots | ![]() Soal Turunan Y 1 X 2 2x 3 Adalah Y Dots | ![]() Soal Turunan Y 1 X 2 2x 3 Adalah Y Dots |
![]() Soal Turunan Y 1 X 2 2x 3 Adalah Y Dots | ![]() Soal Turunan Y 1 X 2 2x 3 Adalah Y Dots | Soal Turunan Y 1 X 2 2x 3 Adalah Y Dots |
![]() Soal Turunan Y 1 X 2 2x 3 Adalah Y Dots | ![]() Soal Turunan Y 1 X 2 2x 3 Adalah Y Dots | ![]() Soal Turunan Y 1 X 2 2x 3 Adalah Y Dots |
![]() Soal Turunan Y 1 X 2 2x 3 Adalah Y Dots | Soal Turunan Y 1 X 2 2x 3 Adalah Y Dots | ![]() Soal Turunan Y 1 X 2 2x 3 Adalah Y Dots |
![]() Soal Turunan Y 1 X 2 2x 3 Adalah Y Dots | ![]() Soal Turunan Y 1 X 2 2x 3 Adalah Y Dots | ![]() Soal Turunan Y 1 X 2 2x 3 Adalah Y Dots |
Soal Turunan Y 1 X 2 2x 3 Adalah Y Dots | ![]() Soal Turunan Y 1 X 2 2x 3 Adalah Y Dots | ![]() Soal Turunan Y 1 X 2 2x 3 Adalah Y Dots |
![]() Soal Turunan Y 1 X 2 2x 3 Adalah Y Dots | Soal Turunan Y 1 X 2 2x 3 Adalah Y Dots | ![]() Soal Turunan Y 1 X 2 2x 3 Adalah Y Dots |
![]() Soal Turunan Y 1 X 2 2x 3 Adalah Y Dots | Soal Turunan Y 1 X 2 2x 3 Adalah Y Dots | ![]() Soal Turunan Y 1 X 2 2x 3 Adalah Y Dots |
![]() Soal Turunan Y 1 X 2 2x 3 Adalah Y Dots | Soal Turunan Y 1 X 2 2x 3 Adalah Y Dots | ![]() Soal Turunan Y 1 X 2 2x 3 Adalah Y Dots |
![]() Soal Turunan Y 1 X 2 2x 3 Adalah Y Dots | Soal Turunan Y 1 X 2 2x 3 Adalah Y Dots | Soal Turunan Y 1 X 2 2x 3 Adalah Y Dots |
![]() Soal Turunan Y 1 X 2 2x 3 Adalah Y Dots | ![]() Soal Turunan Y 1 X 2 2x 3 Adalah Y Dots | Soal Turunan Y 1 X 2 2x 3 Adalah Y Dots |
![]() Soal Turunan Y 1 X 2 2x 3 Adalah Y Dots | ![]() Soal Turunan Y 1 X 2 2x 3 Adalah Y Dots | ![]() Soal Turunan Y 1 X 2 2x 3 Adalah Y Dots |
![]() Soal Turunan Y 1 X 2 2x 3 Adalah Y Dots | ![]() Soal Turunan Y 1 X 2 2x 3 Adalah Y Dots | Soal Turunan Y 1 X 2 2x 3 Adalah Y Dots |
![]() Soal Turunan Y 1 X 2 2x 3 Adalah Y Dots | ![]() Soal Turunan Y 1 X 2 2x 3 Adalah Y Dots | ![]() Soal Turunan Y 1 X 2 2x 3 Adalah Y Dots |
Soal Turunan Y 1 X 2 2x 3 Adalah Y Dots | Soal Turunan Y 1 X 2 2x 3 Adalah Y Dots | ![]() Soal Turunan Y 1 X 2 2x 3 Adalah Y Dots |
![]() Soal Turunan Y 1 X 2 2x 3 Adalah Y Dots | Soal Turunan Y 1 X 2 2x 3 Adalah Y Dots | Soal Turunan Y 1 X 2 2x 3 Adalah Y Dots |
Soal Turunan Y 1 X 2 2x 3 Adalah Y Dots | Soal Turunan Y 1 X 2 2x 3 Adalah Y Dots | ![]() Soal Turunan Y 1 X 2 2x 3 Adalah Y Dots |
![]() Soal Turunan Y 1 X 2 2x 3 Adalah Y Dots | ![]() Soal Turunan Y 1 X 2 2x 3 Adalah Y Dots | ![]() Soal Turunan Y 1 X 2 2x 3 Adalah Y Dots |
![]() Soal Turunan Y 1 X 2 2x 3 Adalah Y Dots | Soal Turunan Y 1 X 2 2x 3 Adalah Y Dots | Soal Turunan Y 1 X 2 2x 3 Adalah Y Dots |
![]() Soal Turunan Y 1 X 2 2x 3 Adalah Y Dots | ![]() Soal Turunan Y 1 X 2 2x 3 Adalah Y Dots | Soal Turunan Y 1 X 2 2x 3 Adalah Y Dots |
![]() Soal Turunan Y 1 X 2 2x 3 Adalah Y Dots | Soal Turunan Y 1 X 2 2x 3 Adalah Y Dots | ![]() Soal Turunan Y 1 X 2 2x 3 Adalah Y Dots |
![]() Soal Turunan Y 1 X 2 2x 3 Adalah Y Dots | ![]() Soal Turunan Y 1 X 2 2x 3 Adalah Y Dots |
Web Contoh Soal Cerita Pertidaksamaan Linear Dua Variabel Contoh soal cerita pertidaksamaan linear dua variabel Sumber unsplashcom Berikut ini adalah contoh soalWeb Turunan trigonometri merupakan proses matematis untuk menemukan turunan pada suatu fungsi trigonometri atau tingkat perubahan terkait dengan suatu variabelnya
Incoming Term: turunan dari y=(1-x)2(2x+3) adalah,






































































