Rationalize The Denominator I 1 5 Ii 2 3 7 Iii 1 3 2 Iv 1 3 5 2 2 V 12 4 3 2 Sarthaks Econnect Largest Online Education Community
Davneet Singh has done his BTech from Indian Institute of Technology, Kanpur He has been teaching from the past 12 years He provides courses for Maths, Science, Social Click here 👆 to get an answer to your question ️ if √3 √2 ÷ √3 √2 = ab √6 , find the values of a b √6 soniabanb810 soniabanb810
Let u = 1 2 3 4 5 6 a = 2 3 b= 3 4 5 then
Let u = 1 2 3 4 5 6 a = 2 3 b= 3 4 5 then- In this paper, from a detailed reanalysis of experimental results, obtained by scanning tunneling microscopy and by low energy electron diffraction on the (2√3 × 2√3)R30° structure,Cube root calculator The cube root of x is given by the formula cube root = 3 √ x 3√ = Calculate × Reset
What Is The Value Of A And B If 3 5 3 5 A B 5 Where A And B Are Rational Numbers Quora
Free PreAlgebra, Algebra, Trigonometry, Calculus, Geometry, Statistics and Chemistry calculators stepbystep Jika √2√3 per √2√3=ab√6 tentukan nilai ab Posted in Uncategorized By triaganascom Posted on Berikut ini soal dan jawaban beserta pembahasan soal निम्न में से a तथा b के मान ज्ञात कीजिए। 2 √3/2 √3 = a b√3 ← Prev Question Next Question → 0 votes
Solution We know that √2 = 141 √3 = 173 We have to find the rational number between √2 and √3 ie we should determine the rational number between 141 and 173 From the given options,If a (2 √3) = b (2 – √3) = 1, then the value of 1 1 isa2 1b2 1 Download App Academic Resource Aptitude Data Interpretation Verbal Reasoning Non Verbal Reasoning Verbal AbilityIf ( 5 2√3 ) / ( 7 4√3 ) = a b√3, then the value of a and b is ?
Let u = 1 2 3 4 5 6 a = 2 3 b= 3 4 5 thenのギャラリー
各画像をクリックすると、ダウンロードまたは拡大表示できます
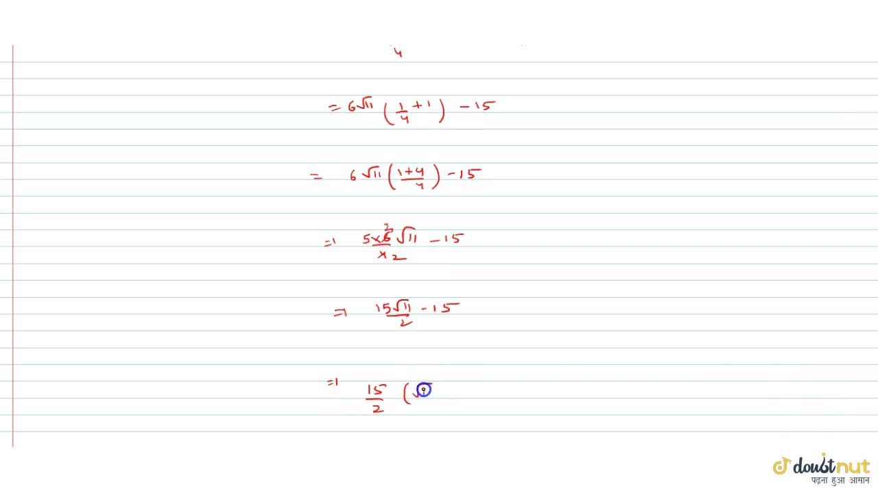
![]() If 3 2 3 2 A B 6 Then Find The Value Of A And B Brainly In | ![]() If 3 2 3 2 A B 6 Then Find The Value Of A And B Brainly In | ![]() If 3 2 3 2 A B 6 Then Find The Value Of A And B Brainly In |
![]() If 3 2 3 2 A B 6 Then Find The Value Of A And B Brainly In | ![]() If 3 2 3 2 A B 6 Then Find The Value Of A And B Brainly In | If 3 2 3 2 A B 6 Then Find The Value Of A And B Brainly In |
![]() If 3 2 3 2 A B 6 Then Find The Value Of A And B Brainly In | ![]() If 3 2 3 2 A B 6 Then Find The Value Of A And B Brainly In | ![]() If 3 2 3 2 A B 6 Then Find The Value Of A And B Brainly In |
![]() If 3 2 3 2 A B 6 Then Find The Value Of A And B Brainly In | If 3 2 3 2 A B 6 Then Find The Value Of A And B Brainly In | If 3 2 3 2 A B 6 Then Find The Value Of A And B Brainly In |
If 3 2 3 2 A B 6 Then Find The Value Of A And B Brainly In | If 3 2 3 2 A B 6 Then Find The Value Of A And B Brainly In | ![]() If 3 2 3 2 A B 6 Then Find The Value Of A And B Brainly In |
![]() If 3 2 3 2 A B 6 Then Find The Value Of A And B Brainly In | If 3 2 3 2 A B 6 Then Find The Value Of A And B Brainly In | If 3 2 3 2 A B 6 Then Find The Value Of A And B Brainly In |
If 3 2 3 2 A B 6 Then Find The Value Of A And B Brainly In | If 3 2 3 2 A B 6 Then Find The Value Of A And B Brainly In | ![]() If 3 2 3 2 A B 6 Then Find The Value Of A And B Brainly In |
If 3 2 3 2 A B 6 Then Find The Value Of A And B Brainly In | If 3 2 3 2 A B 6 Then Find The Value Of A And B Brainly In | If 3 2 3 2 A B 6 Then Find The Value Of A And B Brainly In |
![]() If 3 2 3 2 A B 6 Then Find The Value Of A And B Brainly In | If 3 2 3 2 A B 6 Then Find The Value Of A And B Brainly In | ![]() If 3 2 3 2 A B 6 Then Find The Value Of A And B Brainly In |
If 3 2 3 2 A B 6 Then Find The Value Of A And B Brainly In | ![]() If 3 2 3 2 A B 6 Then Find The Value Of A And B Brainly In | ![]() If 3 2 3 2 A B 6 Then Find The Value Of A And B Brainly In |
![]() If 3 2 3 2 A B 6 Then Find The Value Of A And B Brainly In | ![]() If 3 2 3 2 A B 6 Then Find The Value Of A And B Brainly In | If 3 2 3 2 A B 6 Then Find The Value Of A And B Brainly In |
![]() If 3 2 3 2 A B 6 Then Find The Value Of A And B Brainly In | ![]() If 3 2 3 2 A B 6 Then Find The Value Of A And B Brainly In | ![]() If 3 2 3 2 A B 6 Then Find The Value Of A And B Brainly In |
If 3 2 3 2 A B 6 Then Find The Value Of A And B Brainly In | ![]() If 3 2 3 2 A B 6 Then Find The Value Of A And B Brainly In | ![]() If 3 2 3 2 A B 6 Then Find The Value Of A And B Brainly In |
If 3 2 3 2 A B 6 Then Find The Value Of A And B Brainly In | ![]() If 3 2 3 2 A B 6 Then Find The Value Of A And B Brainly In | If 3 2 3 2 A B 6 Then Find The Value Of A And B Brainly In |
If 3 2 3 2 A B 6 Then Find The Value Of A And B Brainly In | ![]() If 3 2 3 2 A B 6 Then Find The Value Of A And B Brainly In | ![]() If 3 2 3 2 A B 6 Then Find The Value Of A And B Brainly In |
![]() If 3 2 3 2 A B 6 Then Find The Value Of A And B Brainly In | ![]() If 3 2 3 2 A B 6 Then Find The Value Of A And B Brainly In | If 3 2 3 2 A B 6 Then Find The Value Of A And B Brainly In |
If 3 2 3 2 A B 6 Then Find The Value Of A And B Brainly In | ![]() If 3 2 3 2 A B 6 Then Find The Value Of A And B Brainly In | ![]() If 3 2 3 2 A B 6 Then Find The Value Of A And B Brainly In |
![]() If 3 2 3 2 A B 6 Then Find The Value Of A And B Brainly In | ![]() If 3 2 3 2 A B 6 Then Find The Value Of A And B Brainly In | ![]() If 3 2 3 2 A B 6 Then Find The Value Of A And B Brainly In |
![]() If 3 2 3 2 A B 6 Then Find The Value Of A And B Brainly In | ![]() If 3 2 3 2 A B 6 Then Find The Value Of A And B Brainly In | ![]() If 3 2 3 2 A B 6 Then Find The Value Of A And B Brainly In |
![]() If 3 2 3 2 A B 6 Then Find The Value Of A And B Brainly In | ![]() If 3 2 3 2 A B 6 Then Find The Value Of A And B Brainly In | ![]() If 3 2 3 2 A B 6 Then Find The Value Of A And B Brainly In |
![]() If 3 2 3 2 A B 6 Then Find The Value Of A And B Brainly In | If 3 2 3 2 A B 6 Then Find The Value Of A And B Brainly In | If 3 2 3 2 A B 6 Then Find The Value Of A And B Brainly In |
If 3 2 3 2 A B 6 Then Find The Value Of A And B Brainly In | If 3 2 3 2 A B 6 Then Find The Value Of A And B Brainly In | ![]() If 3 2 3 2 A B 6 Then Find The Value Of A And B Brainly In |
If 3 2 3 2 A B 6 Then Find The Value Of A And B Brainly In | ![]() If 3 2 3 2 A B 6 Then Find The Value Of A And B Brainly In | If 3 2 3 2 A B 6 Then Find The Value Of A And B Brainly In |
If 3 2 3 2 A B 6 Then Find The Value Of A And B Brainly In | If 3 2 3 2 A B 6 Then Find The Value Of A And B Brainly In | ![]() If 3 2 3 2 A B 6 Then Find The Value Of A And B Brainly In |
If 3 2 3 2 A B 6 Then Find The Value Of A And B Brainly In | ![]() If 3 2 3 2 A B 6 Then Find The Value Of A And B Brainly In | ![]() If 3 2 3 2 A B 6 Then Find The Value Of A And B Brainly In |
![]() If 3 2 3 2 A B 6 Then Find The Value Of A And B Brainly In | If 3 2 3 2 A B 6 Then Find The Value Of A And B Brainly In | If 3 2 3 2 A B 6 Then Find The Value Of A And B Brainly In |
If 3 2 3 2 A B 6 Then Find The Value Of A And B Brainly In | If 3 2 3 2 A B 6 Then Find The Value Of A And B Brainly In | If 3 2 3 2 A B 6 Then Find The Value Of A And B Brainly In |
![]() If 3 2 3 2 A B 6 Then Find The Value Of A And B Brainly In | If 3 2 3 2 A B 6 Then Find The Value Of A And B Brainly In | ![]() If 3 2 3 2 A B 6 Then Find The Value Of A And B Brainly In |
![]() If 3 2 3 2 A B 6 Then Find The Value Of A And B Brainly In | ![]() If 3 2 3 2 A B 6 Then Find The Value Of A And B Brainly In | If 3 2 3 2 A B 6 Then Find The Value Of A And B Brainly In |
![]() If 3 2 3 2 A B 6 Then Find The Value Of A And B Brainly In | If 3 2 3 2 A B 6 Then Find The Value Of A And B Brainly In | If 3 2 3 2 A B 6 Then Find The Value Of A And B Brainly In |
![]() If 3 2 3 2 A B 6 Then Find The Value Of A And B Brainly In | ![]() If 3 2 3 2 A B 6 Then Find The Value Of A And B Brainly In | If 3 2 3 2 A B 6 Then Find The Value Of A And B Brainly In |
If 3 2 3 2 A B 6 Then Find The Value Of A And B Brainly In | ![]() If 3 2 3 2 A B 6 Then Find The Value Of A And B Brainly In | ![]() If 3 2 3 2 A B 6 Then Find The Value Of A And B Brainly In |
![]() If 3 2 3 2 A B 6 Then Find The Value Of A And B Brainly In | ![]() If 3 2 3 2 A B 6 Then Find The Value Of A And B Brainly In | If 3 2 3 2 A B 6 Then Find The Value Of A And B Brainly In |
![]() If 3 2 3 2 A B 6 Then Find The Value Of A And B Brainly In | ![]() If 3 2 3 2 A B 6 Then Find The Value Of A And B Brainly In | ![]() If 3 2 3 2 A B 6 Then Find The Value Of A And B Brainly In |
![]() If 3 2 3 2 A B 6 Then Find The Value Of A And B Brainly In | ![]() If 3 2 3 2 A B 6 Then Find The Value Of A And B Brainly In |
Rationalising Factor A number that is needed to multiply in order to make an irrational number as rational number For example, to make the irrational number √3 as rational, we need to multiplySéance de cinéma SaintHilairelesAndrésis SaintHilairelesAndr√©sis mercredi 5 octobre 22 SaintHilairelesAndr√©sis 5 octobre 22 lun 3 octobre 22 Unidivers Ligne éditoriale
Incoming Term: a^3+b^3/2 =(a+b/2)^3, (2 + sqrt(3))/(2 - sqrt(3)) = a + b * sqrt(3), 2+root 3/2-root 3=a+b root 3, (sqrt(2) + sqrt(3))/(3sqrt(2) - 2sqrt(3)) = a - b * sqrt(6), if a=2^3*3 b=2*3*5, 2(a^3+b^3)-3a^2+b^2), a ^ 3 + 3a ^ 2 * b + 3a * b ^ 2 + b ^ 3 - 8, a^(3)-3a^(2)b+3ab^(2)-2b^(3), if a=2^3*3 b=2*3*5 c=3^n*5, let u = 1 2 3 4 5 6 a = 2 3 b= 3 4 5 then,
































































